Rd-blog-number-5848 by Herb Zinser reviews the Joe Stack database from Austin, Texas.
Remember When Joseph Stack Flew a Plane Into a …
May 15, 2013 – Joseph Stack, the 53-year-old software engineer who crashed his small plane into a seven-story office building in Austin, Texas, was part of a …
Man Crashes Plane Into Texas I.R.S. Office – The New York …
Feb 18, 2010 – The pilot, identified as Andrew Joseph Stack III, 53, of north Austin, … “And that’s undoubtedly the reason he flew the airplane against that …
Let’s look at another blog post that covers several events …and then we shall return to Joe Stack and his s-plane
………… that is JOE s-plane –> Job order entry s-plane with Texas engineering problems.
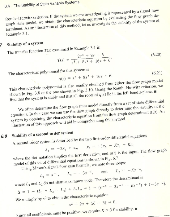
S plane applications VIA Stack-plane and the
Hierarchy Problems / levels / stacks of reality
– Wikipedia, the free encyclopedia
In mathematics and engineering, the S plane is the name for the complex plane … information about the frequency response and stability of a real time system.
The other blog post concepts and data ………..
Rd-blog-number-5850 by Herb Ziuser reviews the Gloria Totzke messsage from Oconomowoc, Wisconsin …… between Milwaukee and Madison.
First, let’s look at another blog post and its data … then the CONTROL SYSTEM murder of Gloria Totzke for message purposes.
Part 1 – Isaac Asimov explains
Nature’s CONTROL SYSTEMS war casualty Hannah Graham
Rd-blog-number-5852 by Herb Zinser uses the Isaac Asimov concepts of math social equation to review some EVENTS.
EARTH control systems equation creates DEMO signaling events
- Nature’s Tsarnaev Hernadez equation WAR
- for control of Los Angeles
Rd-blog-number-5798 by Herb Zinser reviews the Boston Marathon race bombing in the context of Isaac Asimov message systems.
In addition, we shall look at the LAX airport shooting of TSA agent Hernadez
AND
the incomplete explantions given about the deeper levels of REALITY that underlied the electromagnetic-mathematics signaling EVENT involving bio-physics, bio-math human interface entity Hernandez.
Isaac Asimov – Wikipedia, the free encyclopedia
Isaac Asimov (/ˈaɪzɨk ˈæzɨmɒv/; born Isaak Yudovich Ozimov; circa January 2, 1920 – April 6, 1992) was an American author and professor of biochemistry at Boston University, best known for his works of science fiction and for his popular science books …
Let’s look at another blog post that outlines several concepts ……
then we shall look at Nature’s system equation –> TsaRnaev.
reviews Nature’s SYMBOL MACHINE words and equations that Nature uses as military tools to design a SYMBOL MODEL of a proposed attack upon civilian communities filled with ERRORS.
Nature’s systems then implement the attack via the Darwinain selection of those humans, geography locations, dates and numbers …… that best approximate the SYMBOL MODEL list of military proper nouns and numbers …. a parameter list that get actualized ..by mapping the the SYMBOL WORLD to the physical biology world of humans and EARTH geography surface reality.
Boston Marathon bombing – Wikipedia, the free encyclopedia
The Boston Marathon bombing was a bombing incident, followed by subsequent related shootings, that occured when two pressure cooker bombs exploded …

Trial of Oscar Pistorius – Wikipedia, the free encyclopedia
The trial of Oscar Pistorius for the murder of Reeva Steenkamp and several … Pistorius is a leading South African runner, who won attention as an athlete with a …
Surveillance video shows Hannah Graham before …
-
The Washington Post
Sep 19, 2014 – Charlottesville police released surveillance video of 18-year-old University of Virginia student
Hannah Graham walking near Sal’s Pizza in the …

Command and RU types in VTAM messages – IBM
www-01.ibm.com/support/knowledgecenter/…1…ibm…/cmdtype.htm
This chapter lists the command and request/response unit (RU) types that can appear in VTAM® messages. See z/OS Communications Server: SNA Operation …
/>
the SYMBOL MODEL military words …
and how the Darwin selection of the Russian heritage brothers, etc ….. played out in Nature’s data generating EVENT ….
and the rigged, biased trial in Boston of Dzhokhar Tsarnaev …….. with the omisssion of much data evidence.

Boston Marathon Bombing Jury Finds Tsarnaev Guilty On …
www.npr.org/sections/…/jury-reaches-verdict-in-boston-bombing-trial
Apr 8, 2015 – The twin bombings in 2013, carried out by Dzhokhar Tsarnaev with his older … During the trial, prosecutors argued that Tsarnaev was cold and ..
>
Messenger RNA –> TSA RNA ev
– Wikipedia, the free encyclopedia
Messenger RNA (mRNA) is a large family of RNA molecules that convey genetic information from DNA to the ribosome, where they specify the amino acid sequence of the protein products of gene expression.


Energies in electron volts – HyperPhysics
Approximate energy of an electron striking a color television screen (CRT … Typicalenergiesfrom nuclear decay: …
The abbreviation
for electron volt is eV.
Thus we have TsaRnaev as Nature’s Darwinian selected …. energy messenger (code ev) to those 2-legged entities that use energy to run in the Boston Marathon Race … that have failed Nature’s human race test …… as outlined by the year 2015 message from the Germanwings airplane crash in the French alps and alphabets.
The DESCENT of the airplane –> information pointer to –>
The Descent of Man – Charles Darwin & Evolution message by co-pilot Lubitz
Darwin & the descent of man. Charles Darwin’s theories of natural and sexual selection apply to humans as they do to any other species. Recent editions of his …
TSA officer killed at LAX is the first to die in the line of duty …
Nov 3, 2013 – A California husband and father became the first TSA officer killed in the … thatHernandez was a behavior detection officer, TSA Administrator .
2013 Los Angeles International Airport shooting
On November 1, 2013, a shooting occurred at around 9:20 a.m. PDT in Terminal 3 of theLos Angeles International Airport. Paul Anthony Ciancia, aged 23, has been accused of opening fire with a rifle, killing a U.S. governmentTransportation Security Administrationofficer and injuring several other people.
Memorial Service for TSA Officer – NBC Los Angeles
Nov 12, 2013 – TSA officer Gerardo Hernandez, shot and killed Nov. 1 in a gunman’s rampage at LAX, was remembered as the “guardian angel” of Terminal 3.
Memorial Service for TSA Officer – NBC Los Angeles
Nov 12, 2013 – TSA officer Gerardo Hernandez, shot and killed Nov. 1 in a gunman’s rampage at LAX, was remembered as the “guardian angel” of Terminal 3.
–> e math exponent z.
with c = 186,000 velocity
–> Her + rna + ….ez –> Hertzian wave ………. messenger RNA … .. for math function ez.
Angstrom – Wikipedia, the free encyclopedia
The ångström (Swedish: [ˈɔŋstrøm]) or angstrom is a unit of length equal to … arrangement of atoms in crystals, wavelengths of electromagnetic radiation, and …
…..Los ANGSTROMS
…. lost Ang
and their EM attacks upon the
human brain stem ….
Distributive Law
The “Distributive Law” is the BEST one of all, but needs careful attention.
And we write it like this:
a × (b + c) = a × b + a × c
Try the calculations yourself:
- 3 × (2 + 4) = 3 × 6 = 18
- 3×2 + 3×4 = 6 + 12 = 18
Let’s look at the West Coast and East Coast geography region and the anchor agents equation.
Los Angeles <—– …… distributive law ……….. —> Boston (EAST)
TSA ..HeRNAndez ……………………. TSA.RNA ev
TSA ..RNA ……………………………….TSA RNA
are common factors in these “NAME” equations of concepts
TSA RNA ( Her + and + ez ………….. ev)
On the West coast (Los Angeles) we have codes …
her –> hertzian waves of Hernandez
we also have … from …. los angstoms of los angeles…
Striking LA Port Clerks Cost US $1 Billion a Day – Bloomberg
Dec 4, 2012 – Pier 400 at the Port of Los Angeles, foreground, sits idle as container ships and oil tankers are forced to anchor offshore until a labor strike by ..
Clerks Cost US $1 Billion
Clerks Cost US $1 Billion
Clerks … James Clerk Maxwell EM species that us the human body as a HOST platform for their parasite EM brain bio-computer subroutines
Clerks Cost US $1 Billion
Clerks … James Clerk Maxwell EM species that us the human body as a HOST platform for their parasite EM brain bio-computer subroutines
Striking LA Port Clerks Cost US $1 Billion a Day – Bloomberg and the eye/ optical nerve WAR ZONE
noun: propaganda; noun: Propaganda
…… direction of propagation (see above diagram)
-
1.derogatoryinformation, especially of a biased or misleading nature, used to promote or publicize a particular political cause or point of view.“he was charged with distributing enemy propaganda”
synonyms: information, promotion, advertising, publicity, spin; More
Thus we had …..
Los Angeles <—– …… distributive law ……….. —> Boston (EAST)
TSA ..HeRNAndez ……………………. TSA.RNA ev
TSA ..RNA ……………………………….TSA RNA
are common factors in these “NAME” equations of concepts
TSA RNA ( Her + and + ez ………….. ev)
On the West coast (Los Angeles) we have codes …
her –> hertzian waves of Hernandez AND the Los Angeles I/O PORT Clerks message
…thus the EM world of Los Angstroms and Hollywood optical tricks ….. the Los Angeles region and the EM WAR zone
On the EAST Coast …with Boston in the geography state of Mass (Massachusetts ) .. the geography state is a PARALLEL Processing region for atomic mass messages
… thus the agent ….. TsaRna ev with ev energy …. and his message generating activities about the quantum state of MASS problems in the Margaret Mead atomic nuclear family .. …… that occurs in the more visible EARTH geography state of Mass.
Thus we have Boston in the quantum state in the atomic NEW En region (New EnGland) …with its En –> atomic English language.
Citizens of Boston will have to learn how to read and write ….. simple things using English words. Now, they know how to eat, talk bull-stories, brag , lie, scheme, etc. …… things that are out of fashion in year 2015 social communications theory and its applications.
Below, the ev component of Nature’s human energy spokeperson –> TSA RNA ev
Tus we see Nature’s existential continuum …. across the North American geography region with
West Coast < ————- America ————–> East (Boston,Mass
Angstroms, EM, Hertz and <——————> electon volts agent
James Clerk Maxwell messengers ………………… atomic mass states
Now, let’s look at the control system model VIEW of G. Hernandez and Tsaranev.
Modern Control Systems : Richard C. Dorf …
Modern Control Systems [Richard C. Dorf, Robert H. Bishop] on Amazon.com. *FREE* shipping on qualifying offers. Modern Control Systems, 12e, .
.

2013 Los Angeles International Airport shooting – Wikipedia …
On November 1, 2013, a shooting occurred at around 9:20 a.m. PDT in Terminal 3 of the Los Angeles International Airport. Paul Anthony Ciancia, aged 23, has a U.S. governmentTransportation Security Administration (TSA) officer
The gunman shot TSA Officer Gerardo Hernandez, age 39, at the airport.


.
Secret messages of messenger Hernandez deliberately
omitted from the rigged and biased SYSTEM TRIAL of Ciancia.




Above symbols code and their mapping to REALITY proper nouns and locations
–> T(s) america –> application information pointer to T(s) a
–> P(s) –> Pacific Standard (time)
–> L (s) –> LAX shooting
—> K –> potassium atomic mass 39 in humanoid format
………………. TSA Officer Gerardo I. Hernandez, potassium age 39,

Below, the TSA secret schemes Via Government agent –>
Geraldo –> Government & Gerardo –> G G control systems ….human manipulators

Above, words –> H(s) in the feedback path –> Hernandez shooting


Below, the bio-physics codes of
Gerardo Hernandez (jaw) … mouth / talking

The Gerardo Hernandez(jaw) transfer function to the
Nature’s social engineering control systems …
the Engraving machine –> to place him in a coffin in a grave in a cemetery

Transportation Security Administration – Wikipedia, the free …
https://en.wikipedia.org/…/Transportation_Security_Administr…
Wikipedia
The Transportation Security Administration (TSA) is an agency of the U.S. Department of Homeland Security that has authority over the security of the traveling …
Administration (TSA)
Administration (TSA)
Administration ( TS America ) and the Isaac asimov psychohistory equation application ………….
TSA Pre
What is TSA Pre
– Participation in TSA Pre –
Members of the (SYMBOL MACHINE) Military


TSA Presit …death subroutine system
What is TSA Pre – Participation in TSA Pre(sit) – Members of the Military
The Transportation Security Administration (TSA) is an agency of the U.S. Department of Homeland Security
that has authority over the security of the traveling public in the United States
authority over the security of the traveling public
authority over the security of the traveling public
authority over the security of the traveling publications of printed bull-stories, incomplete explanations, and ERRORS
authority over the security of the traveling public
authority over the security of the traveling public
author ….. writers, editors, news reporters …. over the security of the traveling public CRAP explanation of EVENTS
7: THE DATA OF ETHICS (1879) by Herbert Spencer
fair-use.org/herbert-spencer/the-data-of-ethics/s.7
… in correspondence with external coexistences and sequences; and still more …
said to be
the continuous adjustment of internal relations to external relations.
|
Headquarters |
Above, the EXTERNAL world on the EARTH geography surface
Below, the INTERNAL biology system and its neuroscience analysis of human thoughts with nonsense and arrogance
|
Penis Head Headquarters |
Let’s look at another TSA application of the EARTH surface of REALITY … versus the Hollywood fantasy brains of Washington, DC and Boston Massachusetts.

Boston Marathon bombing – Wikipedia, the free encyclopedia
https://en.wikipedia.org/wiki/Boston_Marathon_bombing
Wikipedia
The Boston Marathon bombing was a bombing incident, followed by subsequent related shootings, that occurred when two pressure cooker bombs exploded during the Boston Marathon on April 15, 2013. The bombs exploded about 12 seconds and 210 yards (190 m) apart at 2:49 pm EDT, near the marathon’s finish line on Boylston Street
The Boylston Street BLOCK diagram ….
Unit 4: Block Diagram Reduction by 3 people – Memorial University of …
www.cs.mun.ca/…/reduc_inclass….
Memorial University of Newfoundland
Feb 15, 2010 – Block Diagram Reduction. Signal-Flow Graphs. Unit 4: Block Diagram Reduction. Engineering 5821: Control Systems I. Faculty of Engineering .
.
The suspects were identified later that day as Chechen brothers Dzhokhar Tsarnaev and Tamerlan Tsarnaev.
Tsarnaev –> agent for Nature’s original transportation system …
2-legs and a body

Evolution of the physical body …
the chicken brains remained intact

Nature’s Central Nervous System 370 abstract brain SYMBOL PROCESSOR
and the Darwin military selection of proper nouns and message codes ….
Chechen b = Brothers (Nature’s agents) VERSUS
Chicken b – Boston INTELLECTUAL social and family ERRORS

Signal flow –> EXTERNAL display by Nature’s systems agent

Signal Flow –> Internal parallel processing
April 15 –> ap + ril –> map riddle 15 for oxygen atom Base 16 hexadecimal systems

April 18 –> Water molecule continuum ….. atomic mass 18 … molecule mass communications systems message ……
ignored by the MITochondria brain cells of MIT.

Nature’s biochemistry message ….
MIT coffin …. bio-geometry configuration for the MIT brain police.

Above code signal R(S) –> Runners


Tsarnaev

transfer functions and block diagrams –FTP Directory Listing
ftp://ftp.dca.fee.unicamp.br/pub/…/transfer_function_block_diagram.pdf
Transfer Function of Linear Time-Invariant (LTI) Systems.
3. Block Diagrams with Boylston Street in Boston
4. Multiple Inputs.
5. Transfer Functions with MATLAB.
6. Time Response Analysis ….. Analysis of incomplete explanations of the signaling EVENT
by lazy, arrogant, and biased Boston universities ……
the social science and philosophy departments and law schools ….
insult the TREE of KNowledge and
insult Isaac Asimov and the Foundation book series of concepts.


Thus we have brief outline of concepts related to empirical data
….. tragic data events generated by Nature’s social engineering and brain engineering systems using the SYMBOL MACHINE.
Nature’s SYMBOL MACHINE consists of nouns, verbs, concepts, math equations, flowcharts, etc. The ideas found in math and science textbooks are part of the SYMBOL MACHINE.
Using Galileo’s suggestions of ” 2 CHIEF WORLD SYSTEMS” we now perceive Sartre existentialism as partitioned into 2 or more data spaces……. the 2 CHIEF existential entities
1) physical reality of objects: concrete highways, iron automobiles, cellulose trees, humanoids, atoms, molecules, gravity fields, EARTH iron core, etc.
2) The world of symbols, concepts, process control system flowcharts, biochemistry diagrams, math and physics equations, etc.
Maps and Territories – Rijnlandmodel
Language in Thought and Action, S.I. Hayakawa.
Chapter 2 Symbols Maps and Territories
There is a sense in which we all live in two worlds.
Thus we have the source domain of SYMBOL LIFE and thought that may get a mathematical-physics mapping to the destination range of physical biology with human proper nouns, human activities, etc on the geography surface of EARTH.

Now, let’s look at the Hannah Graham EVENT signals ..
Murder of Hannah Graham – Wikipedia, the free encyclopedia
en.wikipedia.org/wiki/Murder_of_Hannah_Graham
Hannah Graham (February 25, 1996 – c. September 13, 2014) was an 18-year-old second-year British American student at the University of Virginia …


Above code –> GH assigned to Graham, Hannah
Below, the block diagram generated by CONTROL SYSTEMS agent GH = Graham, Hannah

Get Smart (1995 TV series) – Wikipedia, the free encyclopedia
https://en.wikipedia.org/wiki/Get_Smart_(1995_TV_series)
CONTROL

Don Adams, as Maxwell Smart, holding the famous shoe phone
CONTROL is a spy agency founded at the beginning of the 20th century by Harold Harmon Hargrade, a career officer in the United States Navy’s N-2 (Intelligence) Branch. Hargrade served as the first Chief of CONTROL. “CONTROL” is not an acronym, but it is always shown in all capital letters as if it were.
“Maxwell Smart” redirects here. For the American record producer, see Maxwell Smart (record producer).
Maxwell Smart, code number Agent 86 (portrayed by Don Adams) is the central character. Despite being a top secret government agent, he is absurdly clumsy, very naive and has occasional lapses of attention. Due to his frequent verbal gaffes and physical miscues, most of the people Smart encounters believe he is grossly incompetent. Despite these faults, Smart is also resourceful, skilled in hand-to-hand combat, a proficient marksman, and incredibly lucky. These assets have led to him having a phenomenal record of success in times of crisis in which he has often averted disaster, often on a national or global scale. This performance record means his only punishment in CONTROL for his mistakes is that he is the only agent without three weeks annual vacation time.
Smart uses multiple cover identities …… such as the smart University of Virginia in Charlotesville, Virginia with the shoes … shoes … walking Hannah Graham to generate a CONTROL block diagram


Above …. words of section 6 ..eyewitness saw Graham running …. CONTROL SYSTEMS parallel to Boston runners in downtown Boston in year 2013.
Above –> EMMET Street with Maxwell Smart —> James Clerk Maxwell equation of agent 86
–> c = 186,000 velocity of the city of light

Thus Emmet street ….
………………..test in Charlottesville, Virginia..
Emmet –> Em + met –> Electromagnetic field interaction with human metabolism …
problems exist ..hence, the DEMO with CONTROL …
Next, we shall look at the Gloria Totzke message.
Man ordered to stand trial in mother’s ax slaying
www.jsonline.com › News › Waukesha County
Milwaukee Journal SentinelOct 6, 2006 – An Oconomowoc man was ordered Thursday to stand trial on a first-degree … homicide charge accusing him of bludgeoning his mother to death with an ax … Hogan said that he found the body of Gloria Jean Totzke when he …
Oconomowoc man found sane in mother’s ax killing
www.jsonline.com › News › Waukesha County
Milwaukee Journal SentinelNov 13, 2007 – According to court documents, the body of Gloria Jean Totzke, 59, was found in her bed at her home in Oconomowoc on Aug. 10, 2006.
e=”color: #0a0f0b; font-family: Tahoma, Geneva, sans-serif; font-size: 11px; font-style: normal; font-variant: normal; font-weight: normal; letter-spacing: normal; line-height: 15.1800003051758px; orphans: auto; text-align: left; text-indent: 0px; text-transform: none; white-space: normal; widows: 1; word-spacing: 0px; -webkit-text-stroke-width: 0px;”>
Ax killer’s fate up to judge – Milwaukee Journal Sentinel
www.jsonline.com › News › Waukesha County
Milwaukee Journal SentinelNov 10, 2007 – One day before he murdered her, after an out-of-town trip, Totzke rushed into the family home to kill … According to court documents, the body of Gloria Jean Totzke, 59, was found in her bed at her Oconomowoc home Aug.
Control System Fundamentals – Page 131 – Google Books Result
Robert H . Bishop, The University of Texas Richard C. Dorf, University of California, … In terms of linear systems, we recognize that the stability requirement may be …If the characteristic equationhas simple roots on the imaginary axis (./«-axis) …
-
-
Man ordered to stand trial in mother’s ax slaying
www.jsonline.com › News › Waukesha County
Milwaukee Journal SentinelOct 6, 2006 – Mark D. Totzke was ordered by Waukesha County Court … Hogan said that he found the body of Gloria Jean Totzke when he pushed open her …
/>
-
- >
the imaginary axis
the ……………..axis
e-Study Guide for: Modern Control Systems by Richard C. …
-
-
-
Man Gets Life in Ax Murder – Free Republic
www.freerepublic.com/focus/news/1933654/posts
Free RepublicNov 30, 2007 – Authorities contended Mark Totzke killed his mother because she ridiculed him … propelled that ax head at her neck and face at least 10 times –> implies decimal logarithms and frequency
/>
-
-
“g” style=”margin: 0px 0px 23px; padding: 0px; border: 0px; list-style: none; line-height: 1.2; font-size: small; font-family: arial, sans-serif;”>
Common logarithm uses a ax log handle as a math military tool – Wikipedia, the free encyclopedia
https://en.wikipedia.org/wiki/Common_logarithm
In mathematics, the common logarithm is the logarithm with base 10.
/>
MODERN CONTROL SYSTEMS SOLUTION MANUAl for Wisconsin …Madison Oconomowc Milwaukee
Solutions Manual to Accompany Modern Control Systems, Eleventh Edition, by Richard C Dorf and Robert H. Bishop. ISBN-13: 9780132270298. ……
Real Axis. Im a g Axis. Pole-zero map (x:poles and o:zeros). FIGURE P2.8. Pole-zero map.
/>
Real ….is –> information systems forSYMBOL MACHINE forensic analysis
e=”color: #0a0f0b; font-family: Tahoma, Geneva, sans-serif; font-size: 11px; font-style: normal; font-variant: normal; font-weight: normal; letter-spacing: normal; line-height: 15.1800003051758px; orphans: auto; text-align: left; text-indent: 0px; text-transform: none; white-space: normal; widows: 1; word-spacing: 0px; -webkit-text-stroke-width: 0px;”>
Flight Control Systems: Practical Issues in Design and …
Perturbed body axes Equilibrium body axes Figure 2.5 Generalised body axes in symmetric flight then: a =0 (2.3) and in the special case when the axes are …
/>
Figure 2.5 Generalised body axes inGloria Totzke …… importnat data omitted from the rigged Waukesha trial of Mark Totzke ..
especially his trip to SEATLE and Microsoft DOS brain computer experiments.
Court Rejects TED OSwald Appeal – 620 WTMJ …
www.620wtmj.com › News › Local
IBM Archives: System/370 Model 135
https://www-03.ibm.com/ibm/history/…/mainframe_PP3135.html
Systems IBM System/370 Principles of Operation
bitsavers.informatik.uni-stuttgart.de/…/ibm/370/…/GA22-7000-4_370_P…
Sep 1, 1975 – connection with the operation of the System/370, refer to the latest IBM System/370. Bibliography, GC20-0001, and associated technical …
Remember When Joseph Stack Flew a Plane Into a …
May 15, 2013 – Joseph Stack, the 53-year-old software engineer who crashed his small plane into a seven-story office building in Austin, Texas, was part of a …
Man Crashes Plane Into Texas I.R.S. Office – The New York …
Feb 18, 2010 – The pilot, identified as Andrew Joseph Stack III, 53, of north Austin, … “And that’s undoubtedly the reason he flew the airplane against that …
Let’s look at another blog post that covers several events …and then we shall return to Joe Stack and his s-plane
………… that is JOE s-plane –> Job order entry s-plane with Texas engineering problems.
S plane applications VIA Stack-plane and the
Hierarchy Problems / levels / stacks of reality
– Wikipedia, the free encyclopedia
In mathematics and engineering, the S plane is the name for the complex plane … information about the frequency response and stability of a real time system.
Incident
Approximately an hour before the crash, Stack allegedly set fire to his $230,000[18] house located on Dapplegrey Lane in North Austin.[9][20] He then drove to a hangar he rented at Georgetown Municipal Airport, approximately 20 miles to the north.[21] He boarded his single-engine Piper Dakota airplane and took off around 9:45 a.m. Central Standard Time.[22][23][24][25] He indicated to the control tower his flight would be “going southbound, sir.”[12] After taking off, his final words were “thanks for your help, have a great day.”[26]
About ten minutes later, his plane descended and collided at full speed into Echelon I, a building containing offices for 190 IRS employees, resulting in a large fireball and explosion.[22][27][28] The building is located near the intersection of Research Boulevard (U.S. Route 183) and Mopac Expressway (Loop 1).
Keywords–> Georgetown + Government housing the Infra-red spectrun (IRS ) dermatoloogy life forms in the Echelon / STACK levels / Hierarchy Problem existential physics building –> subset words –> Georgetown Government House –> intials –> GGH ………… used in concept equation below
The 2010 Austin suicide attack occurred on February 18, 2010, when Andrew Joseph Stack III deliberately crashed his single-engine Piper Dakotalight aircraft into Building I of the Echelon office complex in Austin, Texas, United States,[4] killing himself and Internal Revenue Service manager Vernon Hunter.[5] Thirteen others were injured, two seriously. The four-story[6][7] office building housed an IRS field office occupying the top three floors, along with a couple of private businesses on the first floor.
The plane was piloted by Andrew Joseph Stack III of the Scofield Farms neighborhood in North Austin, who worked as an embedded software consultant.
Incident
Approximately an hour before the crash, Stack allegedly set fire to his $230,000[18] house located on Dapplegrey Lane in North Austin.[9][20] He then drove to a hangar he rented at Georgetown Municipal Airport, approximately 20 miles to the north.[21] He boarded his single-engine Piper Dakota airplane and took off around 9:45 a.m. Central Standard Time.[22][23][24][25] He indicated to the control tower his flight would be “going southbound, sir.”[12] After taking off, his final words were “thanks for your help, have a great day.”[26]
About ten minutes later, his plane descended and collided at full speed into Echelon I, a building containing offices for 190 IRS employees, resulting in a large fireball and explosion.[22][27][28] The building is located near the intersection of Research Boulevard (U.S. Route 183) and Mopac Expressway (Loop 1).
Above words
–> The forward path is P –> translated into physical REALITY objects using the PIPER airplane …
He boarded his single-engine Piper Dakota airplane a
–> The forward path is P which touches the one loop ……
The Echelon building is located near the intersection of Research Boulevard (U.S. Route 183) and Mopac Expressway (Loop 1).
Expressway (Loop 1).
Expressway (Loop 1).
Expressway (Loop 1).
Above chain of SYMBOL MACHINE command,
T(s) –> Transport systems (airplane) —>
T(s) = Texas Systems –>
T(s) –> Tax systems … and the ratio num/den ……
suggesting that the 4 story building with 1 floor private business and 3 floors government IRS …is some ratio that needs to be understood …. 1/4 and 3/4 in the context of year 2000 and the Y2k bio-computer TIME requirements.
Below, the Darwin SYMBOL MACHINE code E(S) …hence, the Darwin selection of the Echelon building
Below, Nature’s systems usage of the Joe STACK airplane as Ram Input to the STACK building.
Above, Nature’s systems usage of the airplane to DEMO the acceleration input to the STACK building of
stacked decks, rigged court trials that omit important data, and Texas community nonsense and social philosophy dribble.





























































































































































































Instructions for Using the Genesys 10UV Spectrophotometer
Let’s look at another solar system battle in Virginia … that is very clearly defined … the photosynthesis equation battle.
Representing the equation’s water molecule –> the Norris Engineering building ….. battle site with water/hyrology classroom

























